• KSAN
  • Contact us
  • E-Submission
ABOUT
BROWSE ARTICLES
EDITORIAL POLICY
FOR CONTRIBUTORS

Articles

Review Article

Utilizing Educational Technology for Formative Assessment in Nursing Education: A Scoping Review

Korean Journal of Adult Nursing 2026;38(1):1-12.
Published online: February 3, 2026

1Professor, College of Nursing, Ewha Womans University, Seoul, Korea

2Assistant Professor, College of Nursing, Wonkwang University, Iksan, Korea

3Graduate Student, College of Nursing, Ewha Womans University, Seoul, Korea

4Instructor, College of Nursing, Catholic University of Pusan, Busan, Korea

Corresponding author: Miji Lee College of Nursing, Catholic University of Pusan, 57 Oryun-daero, Geumjeong-gu, Busan 46252, Korea. Tel: +82-51-510-0729 Fax: +82-51-510-0747 E-mail: miji_lee@naver.com
• Received: July 30, 2025   • Revised: November 23, 2025   • Accepted: December 8, 2025

© 2026 Korean Society of Adult Nursing

This is an Open Access article distributed under the terms of the Creative Commons Attribution Non-Commercial License (https://creativecommons.org/licenses/by-nc-nd/4.0/), which permits unrestricted non-commercial use, distribution, and reproduction in any medium, provided the original work is properly cited.

  • 1,115 Views
  • 60 Download
next
  • Purpose
    This review presents a comprehensive overview of the utilization of educational technology for formative assessment in nursing education and proposes directions for its future application.
  • Methods
    Arksey and O'Malley’s scoping review design was adopted. A total of 509 articles were retrieved in February 2025 from the Cumulative Index to Nursing and Allied Health Literature, the Cochrane Library, Embase, Education Resources Information Center, Scopus, PubMed, PsycINFO, and Web of Science databases.
  • Results
    Twenty-five articles that conducted formative assessments utilizing educational technology among nursing students and nurses were analyzed. The analysis identified three key themes: educational technology, formative assessment, and educational feedback. Online platforms were the most frequently employed educational technology, while mobile applications have gained prominence since 2020. Formative assessment primarily evaluated knowledge in theoretical courses but has increasingly been used to evaluate skills in practicum settings since 2020. Immediate constructive feedback was provided by educators, peer learners, and non-human agents. Since 2020, feedback delivery has increasingly been automated through non-human agents, including artificial intelligence-based non-human agents.
  • Conclusion
    This review, which focused on the implementation of educational technology-based formative assessment in nursing education, highlights the increasing adoption of non-human agents for delivering educational feedback in practicum courses. To strengthen educators’ competency in providing immediate and constructive educational feedback, sustained support from policymakers and educational institutions is required.
The advent of the Fourth Industrial Revolution, together with advances in information and communication technology (ICT) and the circumstances created by the coronavirus disease 2019 (COVID-19) pandemic, has accelerated digital transformation across multiple sectors [1]. The widespread proliferation of ICT established the foundation for significant changes in various fields [2], particularly in education, where it has contributed to the emergence of a new educational paradigm. Consistent with this trend, the number of educational technology-related publications increased from 77 before 2000 to 148 in the 2000s and 441 in the 2010s [3]. The rapid expansion of educational technology use during the COVID-19 pandemic underscored the importance of digital pedagogy and fundamentally transformed instructional approaches [4]. The suspension of in-person classes and clinical practice compelled nurse educators to adopt blended learning, flipped learning, game-based learning, and virtual simulation [5]. Educational technology has enabled interaction and collaboration among nursing students, enhanced problem-solving abilities, and promoted self-directed learning [6]. Furthermore, it offers an effective means of strengthening nursing students’ critical thinking and clinical decision-making by linking theoretical knowledge with practical application [7]. Collectively, these developments contribute to a more effective teaching and learning environment in nursing education.
To systematically evaluate students’ learning processes and improve learning outcomes, nurse educators have employed formative assessment. Formative assessment refers to assessment for learning and involves the use of processes and tools that generate meaningful feedback about learning to guide subsequent instructional decisions [8]. Specific and timely feedback fosters self-directed learning skills and contributes to improved learning outcomes [9]. For example, Mackintosh-Franklin [10] reported that nursing students who participated in formative assessment developed a deeper understanding of the learning process through feedback and demonstrated higher summative performance. Continuous formative assessment and feedback not only enabled nursing students to refine their learning approaches and deepen their understanding of subject matter [11], but also enhanced their preparation for clinical nursing skills [12]. Nursing education extends beyond the simple transmission of knowledge and instead emphasizes a continuum integrating theoretical instruction, practical application, and clinical experience [13]. Students first acquire foundational knowledge, subsequently apply these concepts in skills laboratories and simulation settings, and ultimately transfer their competencies to patient care during clinical practicums. This continuous learning process cannot be adequately captured by a single assessment; rather, it is strengthened through ongoing and iterative feedback, which allows learners to integrate knowledge into future learning contexts [14]. Consequently, formative assessment supports self-regulated learning by enabling students to monitor their progress and adjust learning strategies, thereby sustaining continuity in nursing education.
In summary, formative assessment functions as a foundational framework for educational evaluation, with feedback serving as a key mechanism for promoting self-directed learning and improving learning outcomes. Educational technology facilitates the effective implementation of formative assessment and feedback. The application of educational technology to formative assessment has been shown to enhance nursing students’ motivation, promote self-directed learning, and improve learning outcomes [15]. These findings indicate that educational technology-based formative assessment can be considered an effective assessment strategy in nursing education. Despite this potential, research on educational technology-based formative assessment remains limited. Many existing studies focus on higher education broadly or on health professions education in general [16], rather than specifically addressing nursing education. In addition, related research often examines a single type of ICT, without considering the broader implementation of formative assessment across multiple digital platforms [15]. Accordingly, a focused review of educational technology-based formative assessment in nursing education is needed to clarify current research trends, identify gaps, and establish best practices. The findings of this review offer guidance for nursing educators regarding the effective integration of technology-enhanced formative assessment. By identifying evidence-based strategies, these findings support the development of adaptive learning environments that foster self-directed learning in nursing education. Therefore, this study aimed to systematically examine current applications and research trends in educational technology-based formative assessment in nursing education and to provide evidence and guidance for its effective integration into future practice. This study aimed to identify trends in published articles on educational technology-based formative assessment and to explore effective strategies for implementing educational technology-based formative assessment in nursing education.
1. Study Design
This study is a scoping review conducted in accordance with the five-stage framework of scoping review methodology proposed by Arksey and O'Malley [17]. A scoping review is used to identify key concepts, sources of information, and types of available evidence that collectively define a research domain.
2. Identifying the research question (Stage 1)
The research questions are as follows: 1) What are the publication and research characteristics of articles related to educational technology-based formative assessment for nursing students and nurses? 2) How has the utilization of educational technology for formative assessment changed over time? 3) What strategies can enhance the implementation of educational technology-based formative assessment in nursing education?
3. Identifying relevant studies (Stage 2)
The literature search was conducted in February 2025, with no restrictions on publication date. Three authors independently searched for relevant peer-reviewed journal articles using a comprehensive electronic literature search strategy. The literature review included publications from database inception through February 2025. A thorough search was conducted across multiple databases, including the Cumulative Index to Nursing and Allied Health Literature (CINAHL), Cochrane Library, Embase, Education Resources Information Center (ERIC), Scopus, PubMed, PsycINFO, and Web of Science. The search strategy employed a combination of keywords designed to capture articles relevant to the topic: (nurse* OR "student nurse*" OR "nursing student*") AND ("information communication technology" OR computer* OR web OR internet OR "artificial intelligence" OR "big data" OR "neural network" OR "natural language processing" OR "machine learning" OR "deep learning" OR mobile OR smartphone OR digital* OR simulation OR virtual OR "augmented reality" OR "mixed reality" OR "extended reality" OR e-learning OR "blended learning" OR "online learning" OR gam*) AND ("formative assessment" OR "formative evaluation" OR "formative test" OR "formative exam").
4. Study selection (Stage 3)
The processes of literature searching and study selection were conducted in accordance with the Preferred Reporting Items for Systematic Reviews and Meta-Analyses extension for Scoping Reviews (PRISMA-ScR) checklist (Figure 1). A total of 509 articles were identified: 90 from CINAHL, 20 from the Cochrane Library, 87 from Embase, nine from ERIC, 127 from Scopus, 76 from PubMed, 16 from PsycINFO, and 84 from Web of Science. After removing 262 duplicate records, 247 articles remained for screening. Three researchers independently reviewed the titles and abstracts of these 247 articles. Discrepancies in study selection were resolved through research meetings until consensus was reached. The inclusion criteria were studies published in academic journals that addressed formative assessment utilizing educational technology for nursing students or nurses. The exclusion criteria were as follows: (1) dissertations, conference posters or abstracts, and books, and (2) studies published in languages other than Korean or English. As a result, the full texts of 126 articles were assessed for eligibility. Of these, 11 studies did not focus on nurses or nursing students, 79 did not implement formative assessment utilizing educational technology, nine were not journal articles, and one was published in a language other than Korean or English. Ultimately, 25 articles met all inclusion criteria and were included in the final analysis.
5. Charting the data (Stage 4)
Data from the 25 included articles were charted using a standardized data charting form developed for this review. The form captured the following information: (1) characteristics of the selected studies, including author, year, study design, and participants; (2) educational technology, including the type and sub-type used for formative assessment; (3) formative assessment characteristics, including course, content, and assessment method; and (4) educational feedback characteristics, including provider, timing, and specificity. Three researchers independently extracted and recorded relevant data using this charting form. To enhance transparency, an example of the coding framework applied to one included study is presented in Supplementary Table 1.
6. Collating, summarizing, and reporting the results (Stage 5)
The study followed the PRISMA-ScR checklist to ensure comprehensive and transparent reporting of the scoping review process. The three researchers compared their analysis results and identified studies with discrepant evaluations. These studies were subsequently re-examined and discussed until full consensus was achieved, after which the extracted data were finalized. Several included studies exhibited methodological limitations, such as insufficient reporting of the reliability or validity of measurement instruments, the use of single-group designs without control groups that limited causal inference, and small sample sizes or reliance on descriptive statistical analyses, which reduced the generalizability of findings. However, all studies clearly articulated their research questions, and the data collected were consistently judged by the three reviewers to be adequate for addressing those questions. Because a scoping review emphasizes comprehensive mapping of the literature rather than study exclusion based on quality, all studies that met the inclusion criteria were retained. Following both independent and consensus-based review, all included studies were considered to meet minimum methodological standards and were included in the final synthesis. The results describe the general characteristics of the studies, the educational technologies employed, the formative assessment approaches used, and the characteristics of educational feedback. After completion of the search and review process, the literature was collated, and a summary of article characteristics was presented in Table 1.
7. Ethical Considerations
Ethical approval was exempted by the Institutional Review Board of Ewha Womans University (IRB No. ewha-202311-0007-01), as this study was a scoping review of published literature.
1. Characteristics of Selected Studies
A total of 25 articles published between 2006 and 2025 were analyzed (Supplementary Data 1). Of these, nine articles were published between 2006 and 2019 [A1-9], and 16 were published between 2020 and 2025 [A10-25]. Articles published in the last five years accounted for more than half of the included studies (n=16), indicating growing interest in educational technology-based formative assessment in nursing education. Geographically, among the 25 articles, one study [A18] did not report identifiable geographic information, while the remaining 24 articles were conducted in the following locations: six in the USA [A2,A5,A7,A8,A11,A23]; three in Sweden [A6,A10,A21]; two each in Australia [A12,A24], China [A17,A20], Taiwan [A13,A16], and the UK [A1,A4]; and one each in Austria [A22], Brazil [A3], Canada [A9], Iran [A25], Morocco [A19], and Turkey [A14]. In addition, one study was conducted jointly in Ireland and Italy [A15]. Quantitative studies were the most common (n=14) [A1,A3-5,A7,A8,A14-18,A20,A23,A25], followed by mixed-methods studies (n=8) [A2,A9-13,A22,A24], qualitative studies (n=2) [A6,A21], and one methodological study (n=1) [A19]. Among the 25 reviewed articles, excluding the methodological study, participant characteristics in the remaining 24 articles showed that 21 studies involved nursing students [A1-10,A12-18,A20,A22,A24,A25], two involved nurses [A11,A23], and one included both nursing students and nurses [A21].
2. Key Themes
The analysis identified three key themes: educational technology, formative assessment, and educational feedback (Table 2, Figure 2).

1) Educational technology

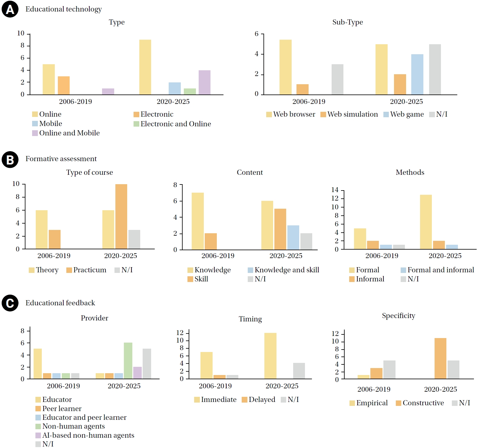
Five types of educational technology were identified: online (n=14) [A1,A3,A5,A6,A8,A11-13,A17,A20,A22-25], mobile (n=2) [A19,A21], electronic (n=3) [A2,A4,A7], electronic and online (n=1) [A10], and online and mobile (n=5) [A9,A14-16,A18]. Prior to 2020, online (n=5) [A1,A3,A5,A6,A8] and electronic (n=3) [A2,A4,A7] technologies were used at similar frequencies, whereas after 2020, the combined use of online and mobile technologies (n=5) [A9,A14-16,A18] newly emerged.
Three sub-types of educational technology were identified, excluding eight articles in which sub-types were not specified [A4,A7,A9,A10,A16,A21,A22,A24]: web browser (n=10) [A1-3,A5,A8,A11,A13,A20,A23,A25], web game (n=4) [A14,A15,A18,A19], and web simulation (n=3) [A6,A12,A17]. The web browser was the most frequently utilized sub-type across the entire study period. After 2020, web games emerged alongside the expansion of mobile educational technology. Web browsers were consistently reported in studies published between 2006 and 2025. Web simulations were first reported in 2016 and appeared intermittently thereafter. Following 2020, web games were increasingly reported, primarily in studies published between 2021 and 2023.

2) Formative assessment

After excluding three articles in which the course type was not identified [A16,A19,A24], two course types were identified: theory (n=9) [A2-5,A8-10,A18,A20] and practicum (n=13) [A1,A6,A7,A11-15,A17,A21-23,A25]. Before 2020, formative assessment was primarily implemented in theoretical courses (n=6) [A2-5,A8,A9]. In these courses, audience response systems were used to facilitate real-time student discussion [A2,A4]. In addition, peer evaluation was conducted using Google Forms [A5], and real-time educational feedback was provided through case-based learning and gamification approaches [A8]. Overall, theoretical courses predominantly employed knowledge-based formal assessments. After 2020, formative assessment was more frequently applied in practicum courses (n=10) [A11-15,A17,A21-23,A25], with practicum-based applications increasing notably from 2021 onward.
After excluding two articles with unidentified formative assessment content [A17,A19], three categories of assessment content were identified: knowledge (n=13) [A2-6,A8-11,A15,A16,A18,A20], skill (n=7) [A1,A7,A12,A13,A21,A23,A25], and combined knowledge and skill (n=3) [A14,A22,A24]. Prior to 2020, assessments primarily focused on knowledge (n=7) [A2-6,A8,A9]. After 2020, there was a shift toward assessing skills (n=4) [A12,A13,A21,A25] or integrating both knowledge and skills (n=3) [A14,A22,A24]. From 2008 to 2021, formative assessment largely emphasized knowledge, whereas after 2021, studies increasingly assessed skills or combined competencies.
After excluding one article with unidentified formative assessment methods, three assessment methods were identified: formal (n=18) [A1,A2,A4,A6,A8,A10-12,A14-19,A21,A22,A24,A25], informal (n=4) [A5,A7,A13,A23], and a combination of formal and informal methods (n=2) [A3,A20]. Formal methods, such as quizzes and classroom tests, were the most commonly used forms of formative assessment, whereas informal methods, including discussion and peer feedback, were used less frequently.

3) Educational feedback

After excluding six articles in which educational feedback providers were not identified [A9,A10,A17,A18,A21,A24], five types of feedback providers were identified: educators (n=7) [A1-4,A8,A20,A25], peer learners (n=2) [A7,A13], a combination of educators and peer learners (n=2) [A5,A16], non-human agents (n=6) [A6,A12,A14,A15,A19,A22], and artificial intelligence (AI)-based non-human agents (n=2) [A11,A23]. Before 2020, educational feedback was primarily delivered by educators (n=5) [A1-4,A8]. Combined educator and peer learner feedback was reported in 2016 [A5] and again in 2022 [A16]. From 2020 onward, educational feedback was most commonly provided by non-human agents (n=5) [A12,A14,A15,A19,A22].
Across the 25 articles, two feedback timing types were identified: immediate (n=19) [A1-7,A11-15,A18-20,A22-25] and delayed (n=1) [A8]. Immediate feedback predominated, while five articles did not specify feedback timing.
In 15 articles, the specificity of educational feedback was reported as empirical (n=1) [A1] or constructive (n=14) [A2,A5,A8,A11-15,A18,A19,A22-25]. Constructive feedback was consistently reported across all publication periods, whereas empirical feedback appeared only once, in 2006. Ten articles did not specify the type of educational feedback provided.
This study conducted a scoping review of 25 articles addressing formative assessment utilizing educational technology in nursing education. In addition, the study identified publication trends and sought approaches for developing strategies to enhance educational technology-based formative assessment in nursing education. Because nursing education requires the ongoing integration of theory, skills, and clinical practice, formative assessment holds substantial pedagogical value. It supports learners’ continuous monitoring and reflection, helping to bridge classroom learning with clinical application and to sustain meaningful learning progression.
Analysis of the 25 articles indicated that online technology was the most frequently utilized modality. Online formative assessment can provide immediate and personalized feedback, which enhances learning outcomes and promotes self-directed learning, thereby supporting the development of student autonomy and agency [18]. Similarly, an integrative review reported that online formative assessment in nursing education improves knowledge acquisition, examination performance, and learner confidence and satisfaction [15]. However, in the absence of explicit instructional design guidelines, online formative assessment may not effectively promote learner communication, participation, or self-directed learning [19]. To address these challenges, educators must acquire competencies related to the implementation of well-defined instructional design strategies. Li et al. [20] found that nurse educators’ age, teaching experience, and awareness of digital technology were significantly associated with digital literacy. Senior faculty may benefit from targeted training in educational technology, whereas junior faculty may require integrated development in both pedagogy and educational technology. Accordingly, institutions should prioritize sustainable support mechanisms, such as tailored faculty development programs, to strengthen nurse educators’ assessment design competencies.
After 2020, mobile technology began to be newly utilized as an emerging form of educational technology. However, this shift does not necessarily indicate a heightened interest in mobile technology specifically for formative assessment, but may instead reflect the broader expansion of mobile-based education. This interpretation is supported by Chang et al. [21], who reported an increase in mobile-based learning studies in nursing education from 24 before 2020 to 77 after 2020. Nikou and Economides [22] examined 43 mobile-based assessment studies published in five major journals between 2009 and 2018 and found that 44% effectively incorporated formative assessment. Mobile technology can facilitate continuous and personalized formative assessment, enabling learners in the digital age to engage in learning conveniently anytime and anywhere [23]. Mobile technology is particularly relevant to formative assessment in nursing education because it supports timely, context-aware feedback and facilitates learning continuity across classroom, simulation, and clinical environments, aligning with the situated and practice-oriented nature of nursing learning. Therefore, implementing formative assessment using mobile technology in nursing education may be meaningful.
However, the validity of formative assessment implemented through mobile technology must be carefully examined in light of this educational trend. In this context, country-level variation in ICT utilization represents a critical consideration when implementing mobile-based formative assessment in nursing education. Vargas-Montoya et al. [24] demonstrated that the impact of ICT use for learning varies substantially between developed and developing countries, with high-income settings showing more consistent positive outcomes. These findings suggest that policymakers and educators should exercise caution when transferring technological interventions from developed to developing contexts. The implementation of mobile technology requires careful consideration of technical factors, including accessibility, usability, interface design, and data security, to promote educational equity and sustainability. In low-resource settings, implementation priorities should emphasize technical feasibility and equitable access, including features such as offline functionality, low-bandwidth optimization, multilingual support, and institutional capacity building for educators. In contrast, high-income countries should focus on pedagogical innovation and learner engagement, such as integrating mobile-based formative assessment with adaptive feedback, analytics dashboards, and AI-assisted feedback mechanisms to promote critical thinking and self-regulated learning. In summary, adapting implementation strategies to specific national contexts is essential to fully realize the potential of mobile-based formative assessment in nursing education. Such adaptation helps ensure that technological advancement leads to equitable and effective learning outcomes.
Since 2020, formative assessment has been implemented more frequently in practicum courses, with a greater emphasis on evaluating skills rather than knowledge. This trend suggests an increased focus on practice-oriented subjects in formative assessment utilizing educational technology in nursing education after 2020. The COVID-19 pandemic necessitated physical distancing and coincided with a rapid expansion of online health services and educational programs for healthcare professionals, thereby increasing reliance on technology to maintain continuity of education and clinical training [25]. In this context, both the pandemic and technological advancement appear to have contributed to adaptations in educational technology-based learning environments. As a result, a notable shift toward practicum-based formative assessment has emerged. Educational technology-based formative assessment can effectively support practicum instruction. Practicum courses in nursing education are designed to facilitate adaptation to real clinical settings and emphasize the integrated development of knowledge, skills, and attitudes. In practicum contexts, formative assessment approaches such as clinical and return demonstrations combined with immediate feedback have been shown to enhance students’ performance in nursing procedures and support the development of essential competencies [11]. Therefore, incorporating educational technology-based formative assessment into practicum courses is particularly meaningful for the development of nursing skills.
In formative assessment, providing immediate and specific educational feedback after assessment is recommended [26]. Most studies reviewed in this research delivered educational feedback immediately and constructively; however, these findings should be interpreted with caution because many studies did not clearly specify the timing and specificity of feedback. High-quality feedback is timely, specific, and constructive, providing students with clear guidance regarding strengths, areas for improvement, and strategies for progress [27]. This process may be regarded as essential to achieving the primary objective of formative assessment, namely assessment for learning. The effectiveness of educational feedback, a core element of formative assessment, varies according to timing, specificity, and spacing [9]. Therefore, the absence of explicit information on feedback timing and specificity in several studies represents a significant limitation. Future research in nursing education should incorporate instructional design processes that explicitly address the timing and specificity of feedback to optimize formative assessment outcomes.
The use of AI can effectively facilitate the provision of immediate and specific educational feedback. Automated AI-based feedback systems are capable of delivering real-time diagnostics and tailored responses during the learning process [28]. In a systematic review of AI applications in student assessment, Gonzalez-Calatayud et al. [29] reported that 15 of 22 articles employed AI for formative assessment. In the context of nursing education, however, only two articles examined AI-based non-human agents providing educational feedback, indicating that the current evidence base is insufficient for generalization. Although existing research has primarily focused on the implementation of non-human agents for educational feedback, these initiatives provide a foundation for subsequent investigations into AI-based non-human agents. AI has the potential to reduce educators’ workload in simulation-based learning and objective structured clinical examinations, where timely and appropriate feedback is critical. Therefore, in contrast to earlier studies that focused mainly on feasibility and limited acceptability, further research is needed to evaluate the effectiveness of AI-based formative assessment.
However, the implementation of AI systems may reduce learner–educator interaction by limiting opportunities for dialogic engagement and personalized mentorship. Seo et al. [30] reported that although AI can improve the scale and timeliness of communication, participants expressed concerns regarding violations of social boundaries, shifts in responsibility, and unclear authority structures when human instructors are less involved. AI-generated feedback systems may also disrupt the natural flow of educator-student interaction and weaken relational bonds in educational contexts [31]. Furthermore, ethical concerns related to data privacy, algorithmic bias, transparency, and accountability become more pronounced with the adoption of AI technologies. Sengul et al. [32], in an integrative review of AI in nursing education, highlighted ethical challenges including bias in training data, inequities in access, cultural sensitivity issues, and concerns regarding accuracy, integrity, and academic responsibility. To mitigate these risks, AI-based formative assessment should incorporate a human-in-the-loop approach, provide clear explanations to help students understand how feedback is generated, and preserve opportunities for educator intervention and override. Institutional policies should mandate robust data governance, regular fairness audits of AI algorithms, and ongoing ethical oversight during implementation.
This scoping review analyzed the application of educational technology-based formative assessment in nursing education, identified current practices, and proposed directions for future research. The findings indicate a growing trend toward integrating formative assessment into practicum courses through the use of non-human agents to deliver educational feedback. Given the limited implementation of AI-based non-human agents, further research is needed to evaluate their effectiveness within nursing education contexts. Effective implementation of educational technology-based formative assessment requires strengthening nurse educators’ digital literacy and instructional design competence, including the development of systematic formative feedback frameworks and their integration into curricula. National and institutional policies should support sustainable educational systems by enhancing educators’ digital literacy and instructional design skills, ensuring equitable access to digital infrastructure, and establishing ethical guidelines for AI-generated feedback to promote fairness and transparency in education.
This study was limited to articles published in English and Korean and lacked complete information on some key themes, which may have affected the comprehensiveness and interpretability of the findings. Despite these limitations, the review provides valuable insights into current trends, identifies important research gaps, and establishes a foundation for the implementation of educational technology-based formative assessment in nursing education.

CONFLICTS OF INTEREST

The authors declared no conflict of interest.

AUTHORSHIP

Study conception and design acquisition - SS; data collection -EH, ML, and ML; analysis and interpretation of the data - SS, EH, ML, and ML; and drafting or critical revision of the manuscript for important intellectual content- SS, EH, ML, and ML.

Funding

This work was supported by the National Research Foundation of Korea (NRF) grant funded by the Korea government (MSIT) (No. 2023R1A2C2006838).

ACKNOWLEDGEMENT

None.

DATA AVAILABILITY STATEMENT

The data can be obtained from the corresponding authors.

Supplementary materials can be found via https://doi.org/10.7475/kjan.2025.0730.

Supplementary Table 1.

Example of coding framework applied in the data charting process
kjan-2025-0730-Supplemental-Table-1.pdf

Supplement Data 1.

List of studies included in the scoping review
kjan-2025-0730-Supplemental-Data-1.pdf
Figure 1.
Article selection process. CINAHL=Cumulative Index to Nursing and Allied Health Literature; EdTech=educational technology; ERIC=Education Resources Information Center.
kjan-2025-0730f1.jpg
Figure 2.
Classification of formative assessment and feedback utilizing educational technology: a comparison between 2006–2019 and 2020–2025. AI=artificial intelligence; N/I=no information.
kjan-2025-0730f2.jpg
Table 1.
Characteristics of the Studies Included
Study no. Authors (year) Country Methodology and research design Sample
A1 Little (2006) UK Quantitative Undergraduate nursing students (n=177)
A2 DeBourgh (2008) USA Mixed methods Undergraduate nursing students (n=65)
A3 Rangel et al. (2010) Brazil Quantitative Undergraduate nursing students (n=44)
A4 Efstathiou and Bailey (2012) UK Quantitative Undergraduate nursing students (n=195)
A5 Adwan (2016) USA Quantitative Undergraduate nursing students (n=279)
A6 Forsberg et al. (2016) Sweden Qualitative Graduate nursing students (n=14)
A7 Gabriele et al. (2016) USA Quantitative Undergraduate nursing students (n=70)
A8 Mackavey and Cron (2019) USA Quantitative Graduate nursing students (n=522)
A9 Sheng et al. (2019) Canada Mixed methods Undergraduate nursing students (n=236)
A10 Ahlstrom and Holmberg (2021) Sweden Mixed methods Undergraduate nursing students (n=246)
A11 Darnell et al. (2021) USA Mixed methods Nurses (n=30)
A12 Fernandez-Nieto et al. (2021) Australia Mixed methods Undergraduate nursing students (n=39)
A13 Lin (2022) Taiwan Mixed methods Graduate nursing students (n=74)
A14 Oz and Ordu (2021) Turkey Quantitative Undergraduate nursing students (n=110)
A15 Coveney et al. (2022) Ireland and Italy Quantitative Nursing students (n=83)
A16 Lin et al. (2021) Taiwan Quantitative Undergraduate nursing students (n=52)
A17 Zhang et al. (2022) China Quantitative Intern nursing students (n=144);
 Junior college (n=13);
 Undergraduate (n=26);
 Postgraduate and above (n=2)
A18 Cadet (2023) N/I Quantitative Undergraduate nursing students (n=37)
A19 Lajane et al. (2023) Morocco Methodological N/A
A20 Ma et al. (2023) China Quantitative Undergraduate nursing students (n=185)
A21 Nilsson et al. (2023) Sweden Qualitative Undergraduate nursing students and nurses (n=27)
A22 Say et al. (2023) Austria Mixed methods Undergraduate nursing students (n=802)
A23 Darnell et al. (2024) USA Quantitative Nurses (n=18)
A24 Say et al. (2024) Australia Mixed methods Undergraduate nursing students (n=1,082)
A25 Khalafi et al. (2025) Iran Quantitative Graduate nursing students (n=62)

N/A=not applicable; N/I=no information.

Table 2.
Classification of Formative Assessment and Feedback Utilizing Educational Technology
Study no. Educational technology Formative assessment Educational feedback
Type Sub-type Course Content Method Provider Timing Specificity
A1 Online Web browser Practicum Skill Formal Educator Immediate Empirical
A2 Electronic Web browser Theory Knowledge Formal Educator Immediate Constructive
A3 Online Web browser Theory Knowledge Formal and informal Educator Immediate N/I
A4 Electronic N/I Theory Knowledge Formal Educator Immediate N/I
A5 Online Web browser Theory Knowledge Informal Educator and peer learner Immediate Constructive
A6 Online Web simulation Practicum Knowledge Formal Non-human agents Immediate N/I
A7 Electronic Video Practicum Skill Informal Peer learner Immediate N/I
A8 Online Web browser Theory Knowledge Formal Educator Delayed Constructive
A9 Online and mobile N/I Theory Knowledge N/I N/I N/I N/I
A10 Electronic and online N/I Theory Knowledge Formal N/I N/I N/I
A11 Online Web browser Practicum Knowledge Formal AI-based non-human agents Immediate Constructive
A12 Online Web simulation Practicum Skill Formal Non-human agents Immediate Constructive
A13 Online Web browser Practicum Skill Informal Peer learner Immediate Constructive
A14 Online and mobile Web game Practicum Knowledge and skill Formal Non-human agents Immediate Constructive
A15 Online and mobile Web game Practicum Knowledge Formal Non-human agents Immediate Constructive
A16 Online and mobile N/I N/I Knowledge Formal Educator and peer learner N/I N/I
A17 Online Web simulation Practicum N/I Formal N/I N/I N/I
A18 Online and mobile Web game Theory Knowledge Formal N/I Immediate Constructive
A19 Mobile Web game N/I N/I Formal Non-human agents Immediate Constructive
A20 Online Web browser Theory Knowledge Formal and informal Educator Immediate N/I
A21 Mobile N/I Practicum Skill Formal N/I N/I N/I
A22 Online N/I Practicum Knowledge and skill Formal Non-human agents Immediate Constructive
A23 Online Web browser Practicum Skill Informal AI-based non-human agents Immediate Constructive
A24 Online N/I N/I Knowledge and skill Formal N/I Immediate Constructive
A25 Online Web browser Practicum Skill Formal Educator Immediate Constructive

AI=artificial intelligence; N/I=no information.

Figure & Data

References

    Citations

    Citations to this article as recorded by  

      Download Citation

      Download a citation file in RIS format that can be imported by all major citation management software, including EndNote, ProCite, RefWorks, and Reference Manager.

      Format:

      Include:

      Utilizing Educational Technology for Formative Assessment in Nursing Education: A Scoping Review
      Korean J Adult Nurs. 2026;38(1):1-12.   Published online February 3, 2026
      Download Citation
      Download a citation file in RIS format that can be imported by all major citation management software, including EndNote, ProCite, RefWorks, and Reference Manager.

      Format:
      • RIS — For EndNote, ProCite, RefWorks, and most other reference management software
      • BibTeX — For JabRef, BibDesk, and other BibTeX-specific software
      Include:
      • Citation for the content below
      Utilizing Educational Technology for Formative Assessment in Nursing Education: A Scoping Review
      Korean J Adult Nurs. 2026;38(1):1-12.   Published online February 3, 2026
      Close

      Figure

      • 0
      • 1
      Utilizing Educational Technology for Formative Assessment in Nursing Education: A Scoping Review
      Image Image
      Figure 1. Article selection process. CINAHL=Cumulative Index to Nursing and Allied Health Literature; EdTech=educational technology; ERIC=Education Resources Information Center.
      Figure 2. Classification of formative assessment and feedback utilizing educational technology: a comparison between 2006–2019 and 2020–2025. AI=artificial intelligence; N/I=no information.
      Utilizing Educational Technology for Formative Assessment in Nursing Education: A Scoping Review
      Study no. Authors (year) Country Methodology and research design Sample
      A1 Little (2006) UK Quantitative Undergraduate nursing students (n=177)
      A2 DeBourgh (2008) USA Mixed methods Undergraduate nursing students (n=65)
      A3 Rangel et al. (2010) Brazil Quantitative Undergraduate nursing students (n=44)
      A4 Efstathiou and Bailey (2012) UK Quantitative Undergraduate nursing students (n=195)
      A5 Adwan (2016) USA Quantitative Undergraduate nursing students (n=279)
      A6 Forsberg et al. (2016) Sweden Qualitative Graduate nursing students (n=14)
      A7 Gabriele et al. (2016) USA Quantitative Undergraduate nursing students (n=70)
      A8 Mackavey and Cron (2019) USA Quantitative Graduate nursing students (n=522)
      A9 Sheng et al. (2019) Canada Mixed methods Undergraduate nursing students (n=236)
      A10 Ahlstrom and Holmberg (2021) Sweden Mixed methods Undergraduate nursing students (n=246)
      A11 Darnell et al. (2021) USA Mixed methods Nurses (n=30)
      A12 Fernandez-Nieto et al. (2021) Australia Mixed methods Undergraduate nursing students (n=39)
      A13 Lin (2022) Taiwan Mixed methods Graduate nursing students (n=74)
      A14 Oz and Ordu (2021) Turkey Quantitative Undergraduate nursing students (n=110)
      A15 Coveney et al. (2022) Ireland and Italy Quantitative Nursing students (n=83)
      A16 Lin et al. (2021) Taiwan Quantitative Undergraduate nursing students (n=52)
      A17 Zhang et al. (2022) China Quantitative Intern nursing students (n=144);
       Junior college (n=13);
       Undergraduate (n=26);
       Postgraduate and above (n=2)
      A18 Cadet (2023) N/I Quantitative Undergraduate nursing students (n=37)
      A19 Lajane et al. (2023) Morocco Methodological N/A
      A20 Ma et al. (2023) China Quantitative Undergraduate nursing students (n=185)
      A21 Nilsson et al. (2023) Sweden Qualitative Undergraduate nursing students and nurses (n=27)
      A22 Say et al. (2023) Austria Mixed methods Undergraduate nursing students (n=802)
      A23 Darnell et al. (2024) USA Quantitative Nurses (n=18)
      A24 Say et al. (2024) Australia Mixed methods Undergraduate nursing students (n=1,082)
      A25 Khalafi et al. (2025) Iran Quantitative Graduate nursing students (n=62)
      Study no. Educational technology Formative assessment Educational feedback
      Type Sub-type Course Content Method Provider Timing Specificity
      A1 Online Web browser Practicum Skill Formal Educator Immediate Empirical
      A2 Electronic Web browser Theory Knowledge Formal Educator Immediate Constructive
      A3 Online Web browser Theory Knowledge Formal and informal Educator Immediate N/I
      A4 Electronic N/I Theory Knowledge Formal Educator Immediate N/I
      A5 Online Web browser Theory Knowledge Informal Educator and peer learner Immediate Constructive
      A6 Online Web simulation Practicum Knowledge Formal Non-human agents Immediate N/I
      A7 Electronic Video Practicum Skill Informal Peer learner Immediate N/I
      A8 Online Web browser Theory Knowledge Formal Educator Delayed Constructive
      A9 Online and mobile N/I Theory Knowledge N/I N/I N/I N/I
      A10 Electronic and online N/I Theory Knowledge Formal N/I N/I N/I
      A11 Online Web browser Practicum Knowledge Formal AI-based non-human agents Immediate Constructive
      A12 Online Web simulation Practicum Skill Formal Non-human agents Immediate Constructive
      A13 Online Web browser Practicum Skill Informal Peer learner Immediate Constructive
      A14 Online and mobile Web game Practicum Knowledge and skill Formal Non-human agents Immediate Constructive
      A15 Online and mobile Web game Practicum Knowledge Formal Non-human agents Immediate Constructive
      A16 Online and mobile N/I N/I Knowledge Formal Educator and peer learner N/I N/I
      A17 Online Web simulation Practicum N/I Formal N/I N/I N/I
      A18 Online and mobile Web game Theory Knowledge Formal N/I Immediate Constructive
      A19 Mobile Web game N/I N/I Formal Non-human agents Immediate Constructive
      A20 Online Web browser Theory Knowledge Formal and informal Educator Immediate N/I
      A21 Mobile N/I Practicum Skill Formal N/I N/I N/I
      A22 Online N/I Practicum Knowledge and skill Formal Non-human agents Immediate Constructive
      A23 Online Web browser Practicum Skill Informal AI-based non-human agents Immediate Constructive
      A24 Online N/I N/I Knowledge and skill Formal N/I Immediate Constructive
      A25 Online Web browser Practicum Skill Formal Educator Immediate Constructive
      Table 1. Characteristics of the Studies Included

      N/A=not applicable; N/I=no information.

      Table 2. Classification of Formative Assessment and Feedback Utilizing Educational Technology

      AI=artificial intelligence; N/I=no information.

      TOP